Planning your online course content is the first step in creating a powerful online course.
Author Archives: grokiam
State of Artificial Intelligence in 2017 | NextBigFuture.com
State of Artificial Intelligence in 2017
Source: State of Artificial Intelligence in 2017 | NextBigFuture.com
That was 2017 in online learning
Tony Bates experience of online learning in 2017
2017 was a very interesting year for me, if not for online learning as a whole. I have a very different interface with online learning these days from most people, more that of an observer than as a participant, which has both advantages and disadvantages, but it does give me a somewhat wider perspective, so first, here’s what I did, then second what I learned from my experience.
Calgary’s Coworking Spaces, Incubators and Accelerators

Calgary has a plethora of coworking spaces, business incubators and accelerator programs. Learn more by clicking on each organization below:
Source: Calgary’s Coworking Spaces, Incubators and Accelerators
EU’s new privacy regulations are coming and North American companies need to be ready | Financial Post
The General Data Protection Regulation — a harmonized set of privacy regulations that protects EU residents — goes into effect on May 25, 2018
Why Education Startups Do Not Succeed
I co-founded PrepMe in 2001. We were one of the first education companies online and the first purely online, personalized platform. We were acquired in 2011 by Providence Equity-backed Ascend Lea…
WeWork buys Meetup for $200 million – Business Insider
Meetup is only one of a slew of new investments and purchases the $20 billion startup WeWork has made in recent months.
Source: WeWork buys Meetup for $200 million – Business Insider
WeWork Buys Meetup, the Service for Bringing Hobbyists Together
This is what we will all do in the future when there are no jobs – we’ll hang out in funky co-work spaces and do crafts.
Learning Management Systems in Canada – LISTedTECH
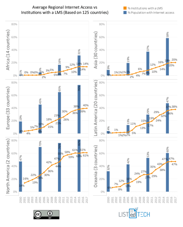
What Percentage of HigherEd Institutions have a LMS? – LISTedTECH
Have you ever wondered what percentage of HigherEd institutions have a learning management system? We, at LISTedTECH, have. It’s a question that we often ask ourselves, especially since we are continuously expanding our coverage. When a new country differs greatly in percentage than the average, we question our tools, our product list, […]
Source: What Percentage of HigherEd Institutions have a LMS? – LISTedTECH

